مقاومت کششی انواع میلگرد از مهمترین استانداردهایی است که باید توسط مهندس پروژه مورد توجه قرار گیرد. مقاومت کششی میلگرد تعیینکننده میزان مقاومتی است که این قطعه فولادی در برابر شکستن و در مواجهه با نیروی خارجی وارده نشان میدهد. چنانچه شما نیز قصد دارید درباره میزان مقاومت کششی انواع میلگرد، نحوه محاسبه و ضرورت بهکارگیری آن در صنعت اطلاعاتی کسب کنید، با این مقاله از وبلاگ صنعت تجارت پردیس آذربایجان همراه باشید.
مقاومت کششی میلگرد چیست؟

مقاومت کششی میلگرد چیست؟
هر مادهای که در ساختوساز مورد استفاده قرار میگیرد، وابسته به نوع استفاده، به مقدار خاصی از مقاومت و استحکام نیاز دارد و میلگردها از این قاعده مستثنی نیستند. یکی از مهمترین ویژگیهای بهترین میلگرد مورد استفاده در ساختمانها، مقاومت کششی آنهاست. واحد مقاومت کششی انواع میلگرد عموما با کیلوگرم بر سانتیمتر مربع یا نیوتن بر مترمربع اندازهگیری میشود.
این مقطع فولادی برای اینکه صلاحیت استفاده در معماری را داشته باشد، باید عدد شکنندگی خوبی داشته باشد و همین عامل سبب شده تمامی مهندسین در ابتدای شروع پروژه، به بررسی محیط جغرافیایی، ویژگیها و مشخصات ساختمانی نظیر تعداد طبقه، وزن هر طبقه و موارد دیگر بپردازند تا تخمین بزنند چه میزان مقاومت، سازه را از خطرات احتمالی حفظ خواهد کرد. (منبع: لینک)
چرا بررسی مقاومت کششی انواع میلگرد مهم است؟

چرا بررسی مقاومت کششی انواع میلگرد مهم است؟
ضرورت آشنایی و محاسبه مقاومت کششی میلگردها به ضعف بتن در برابر نیروهای کششی برمیگردد. بتن یکی از اساسیترین مصالح مورد استفاده در ساختمانسازی است و با اینکه مقاومت فشاری خوبی از خود نشان میدهد، اما در برابر نیروهای کششی نظیر زلزله خوب عمل نمیکند. همین عامل سبب شده تا به میلگردهایی با مقاومت کششی مناسب نیاز داشته باشیم.
هرچه مقاومت کششی انواع میلگرد اندازه متناسبتری با نوع بتن و مقاومت این ماده داشته باشد، با در کنار هم قرار گرفتن این مواد استحکام سازه را بهتر ضمانت خواهیم کرد؛ به عبارت دیگر، بررسی مقاومت کششی انواع میلگرد به ما کمک میکند تا استانداردهای معماری را بهتر در سازه اعمال کنیم و هنگام وقوع بلاهای طبیعی خسارت حداقلی را تجربه کنیم. توجه داشته باشید که هرچه مقاومت کششی میلگرد بالاتر باشد، قیمت روز میلگرد نیز بیشتر است.
نحوه محاسبه مقاومت کششی میلگرد

نحوه محاسبه مقاومت کششی میلگرد
محاسبه مقاومت کششی انواع میلگرد از اصلیترین مراحلی است که باید در کارخانههای تولید میلگرد انجام گیرد تا کیفیت انواع میلگرد مشخص شود و پس از آن، اجناس در اندازهها و نمونههای مختلف به بازار فرستاده شوند یا برای بهبود کیفیت به خط تولید بازگردند.
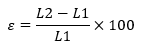
مقاومت کششی انواع میلگرد توسط برخی آزمایشها و تستها محاسبه میشود. متخصصین این حوزه، اندازهگیری مقاومت کششی میلگرد را با استفاده از دستگاههای مخصوص نظیر دستگاه نیروسنج یا ثبات انجام میدهند. به این صورت که ابتدا مقدار مشخصی از انواع میلگرد را برش داده و با علامتگذاری در دو سر آن، آنها را درون دستگاه قرار میدهند. در این فرایند، طول میلگرد با کولیس اندازهگیری و L1 نامیده میشود.
دقت داشته باشید که مقدار میلگرد موردنیاز برای انجام آزمایش به صورت متوسط 5 تا 10 برابر میزان قطر میلگرد است؛ برای مثال، اگر شما مقاومت کششی میلگرد قطر 20 را محاسبه میکنید، طول میلگردی که نیاز دارید، بین 100 تا 200 میلیمتر باید در نظر گرفته شود. دستگاه اندازهگیری مقاومت کششی میلگرد دارای دو فک (یک فک متحرک و دیگری ثابت) است که قطعه را محکم نگه میدارد.
بعد از قرار دادن میلگرد در دستگاه، فشار دستگاه را روی 6 الی 8 بار تنظیم میکنند و این کار را تا شکستن قطعه در دستگاه ادامه میدهند. طی این فشارها، میلگرد ابتدا دچار افزایش طول میشود که آن را نیز علامتگذاری کرده و بعد از اندازهگیری با کولیس، L2 مینامند.
با اطلاعات بهدست آمده و طبق فرمول زیر میتوان ازدیاد طول میلگرد یا کرنش آن را به دست آورد.

بعد از این مرحله، نوبت به محاسبه مقاومت کششی میلگرد میرسد. مقاومت کششی میلگرد طبق فرمول زیر که به قانون هوک معروف است و با کمک یک منحنی اندازهگیری میشود.
![]()
σ در این فرمول تنش وارد بر میلگرد است و E نیز مدول الاستیسیته نام دارد. برای اینکه E را به دست آورید، ابتدا باید منحنی نیرو-جابهجایی که دستگاه به شما تحویل میدهد را طبق محاسباتی خاص، به نمودار تنش-کرنش تبدیل کنید. سپس باید شیب منحنی حاصله را از نقطه صفر تا زمانی که میلگرد از حیطه تغییرات الاستیک عبور میکند و به نقطه حد تناسب میرسد، به دست آورید. این شیب همان E است و حالا با جایگذاری مقادیر میتوانید مقاومت کششی میلگرد را به دست آورید.
میلگرد از زمان قرارگیری در دستگاه، حالتهای مختلفی را تجربه میکند که این حالات بر اساس نیروهای وارده و جابهجاییهای طولی، در نهایت به شکل نمودار تنش کرنش در میآید.

نتایج استفاده از میلگرد با مقاومت کششی غیراستاندارد

نتایج استفاده از میلگرد با مقاومت کششی غیراستاندارد
هر مادهای در طبیعت دارای آستانه تحمل مشخصی در برابر نیروهایی است که در جهت مخالف به آن وارد میشوند. چنانچه نیرویی که به میلگرد وارد میشود، اعم از فشاری یا کششی، بیش از حد کشش عادی باشد، میلگرد شروع به تغییرات برگشتپذیر یا الاستیک میکند؛ برای مثال زمانی که دمای هوا خیلی پایین یا بالا برود، میلگرد با انقباض و انبساط خود به صورت برگشتپذیر به محیط واکنش نشان میدهد.
در این شرایط اگر میزان تغییرات میلگرد در کنار بتن بیش از حد استاندارد باشد، سازه شما شروع به ترک خوردن میکند. فاجعه اصلی زمانی اتفاق میافتد که نیروهای خارجی وارده بیش از حد تحمل یا مقاومت کششی میلگرد باشند! در این موقعیت میلگرد دچار تغییرات برگشتناپذیر یا پلاستیک شده و میشکند. این شکستگی در طول میلگرد، سازه شما را به کلی با خاک یکسان میکند و این دقیقا همان چیزی است که در زمان زلزله تجربه میکنیم.
مقایسه مقاومت کششی انواع میلگرد
میلگردها را بر اساس جغرافیای مدنظر، در مقاومتهای کششی متفاوتی میسازند. عموما در اروپا به علت زلزلهخیزی کمتر، میلگردها با مقاومت کششی پایین تولید میشوند و در ژاپن به عنوان یک کشور بسیار زلزلهخیز این روند برعکس است. در ایران، استاندارد GOST 5781 که مربوط به کشور روسیه میشود، برای تولید میلگرد مورد استفاده قرار میگیرد. طبق این استاندارد میلگردها به سه گرید A1، A2 و A3 تقسیمبندی میشوند.
-
مقاومت کششی میلگرد A1

مقاومت کششی میلگرد A1
گروه اول یعنی میلگرد A1 منعطفترین نمونه میلگردی است که تولید میشود. این میلگرد با سطحی صاف دارای 3600 الی 3800 کیلوگرم بر سانتیمتر مربع مقاومت کششی است و تنش گسیختگی آن 25 درصد است که یعنی این میلگرد میتواند تا حد زیادی تغییر شکل دهد و در آهنگری و جوشکاری مورد استفاده قرار گیرد. میلگرد A1 به عنوان میلگرد نرم نیز شناخته میشود و در آییننامهها و طبق استاندارد کشور ایران از نظر مقاومت کششی میلگرد در دسته S240 قرار میگیرد. این عدد به این معنی است که میلگرد مذکور میتواند تا سقف 240 مگاپاسکال فشار را تحمل کند.
-
مقاومت کششی میلگرد A2
نمونه بعدی میلگرد A2 است که 19 درصد تغییر شکل بر اثر تنش گسیختگی را تجربه میکند و با داشتن آجهایی بر روی سطح خود به عنوان میلگردی نیمه سخت شناخته میشود. مقاومت کششی میلگرد نوع A2 در حدود 5000 کیلوگرم بر سانتیمترمربع تخمین زده شده و به عنوان یکی از اعضا S340 از نظر مقاومت کششی میلگرد شناخته میشود.
-
مقاومت کششی میلگرد A3

مقاومت کششی میلگرد A3
آخرین نمونه از میلگردها، میلگردهای A3 هستند که به عنوان خشکترین، اما مقاومترین میلگردها در بازار مصرف شناخته میشود. این میلگردها که طرفداران زیادی هم دارند، با داشتن تنها 14 درصد شکلپذیری در اثر تنش گسیختگی و 6000 کیلوگرم بر سانتیمترمربع مقاومت کششی، پراستفادهترین نوع در ساختمانسازی به حساب میآیند. شکل آج هشتی و جناغی روی این میلگردها یکی از اصلیترین نشانههای تشخیص آن از دیگر نمونههاست و آن را در دسته S400 قرار میدهد.
-
مقاومت کششی میلگرد A4
میلگرد A4 طبق استاندارد روسیه جایی در میان طبقهبندی میلگرد بر اساس مقاومت کششی ندارد؛ ولی استاندارد ایران نوع دیگری از میلگرد با نام میلگرد A4 را پیشنهاد میکند. مقاومت کششی میلگرد A4 در اصل 6500 کیلوگرم بر سانتیمترمربع تخمین زده میشود و در آییننامه، این نوع میلگرد در دسته S550 قرار میگیرد.
مقاومت کششی میلگرد؛ شاخصی تعیین کننده در امنیت سازه

مقاومت کششی میلگرد؛ شاخصی تعیین کننده در امنیت سازه
مقاومت کششی انواع میلگرد ویژگی است که نشان میدهد میلگرد مدنظر چه اندازه در برابر شکستن زیر فشارها و نیروهای کششی استحکام خواهد داشت؛ از این رو اندازهگیری و محاسبه مقاومت کششی انواع میلگرد در پروژه شما نقش بسیار مهمی دارد. تعیین این مشخصه در میلگردها با استفاده از دستگاههای گوناگون در کارخانجات تولیدکننده انجام میگیرد؛ به این صورت که اندازه مشخصی از میلگرد را در دستگاهها قرار داده و با وارد کردن فشار نهایت تحمل آن را میسنجند.
سنجش مقاومت کششی انواع میلگرد معیار خوبی برای کیفیت سنجی آنهاست و به شما کمک میکند تا سازه خود را امنتر و قابلاعتمادتر بسازید. میلگردها در سراسر دنیا با استانداردها و مقاومت کششی خاصی تولید میشوند؛ اما در ایران عموما چهار نوع میلگرد با مقاومت کششیهای 3600، 5000، 6000 و 6500 کیلوگرم بر سانتیمترمربع مورد استفاده قرار میگیرند. شما میتوانید برای کسب اطلاعات بیشتر در خصوص میلگردها و مشخصات آنها، به مقالات دیگر شرکت صنعت تجارت پردیس آذربایجان مراجعه کرده و یا از طریق راه ارتباطی تماس با ما در ارتباط باشید.


بدون دیدگاه